首页>>公共服务>>招生就业处>>录取信息

河北青年管理干部学院2026年高职单招技能拔尖人才免试拟录取考生名单公示

2026-02-26 10:26:29   作 者: 浏览量:51

根据河北省教育厅《关于做好2026年普通高等职业教育单独考试招生工作的通知》(冀教学〔2025〕6号)及河北省教育考试院印发的《2026年河北省普通高等职业教育单独考试招生工作实施办法》相关规定,现将申报我院2026年高职单招技能拔尖人才免试入学拟录取考生名单予以公示。

公示时间:2026年2月26日—3月4日

如对公示内容有异议,请在公示期内以书面形式将具体说明发送至受理邮箱。公示期满后,如无异议,按要求报送河北省教育考试院备案。

受理邮箱:277092521@qq.com

监督电话:0311-87251616(招生就业处)

0311-87251621(纪委办公室)

 

附件:2026年高职单招技能拔尖人才免试拟录取考生名单

 

河北青年管理干部学院

2026年2月26日  

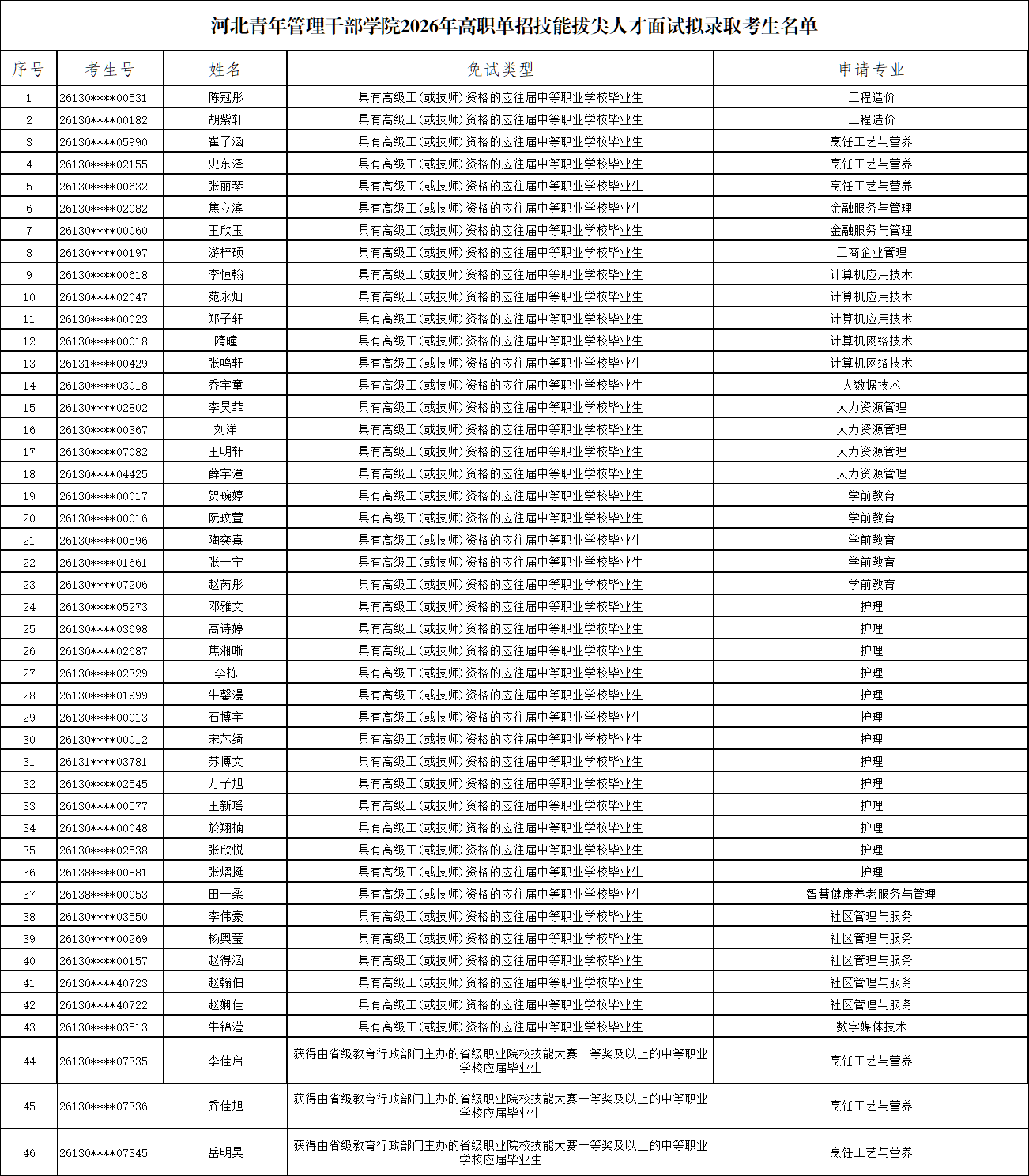
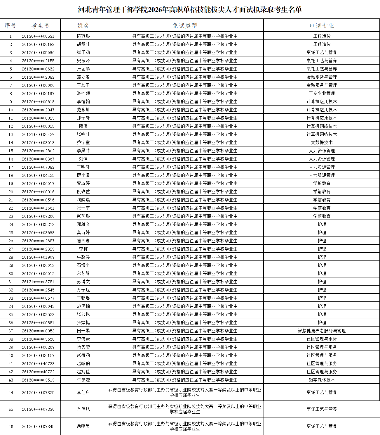
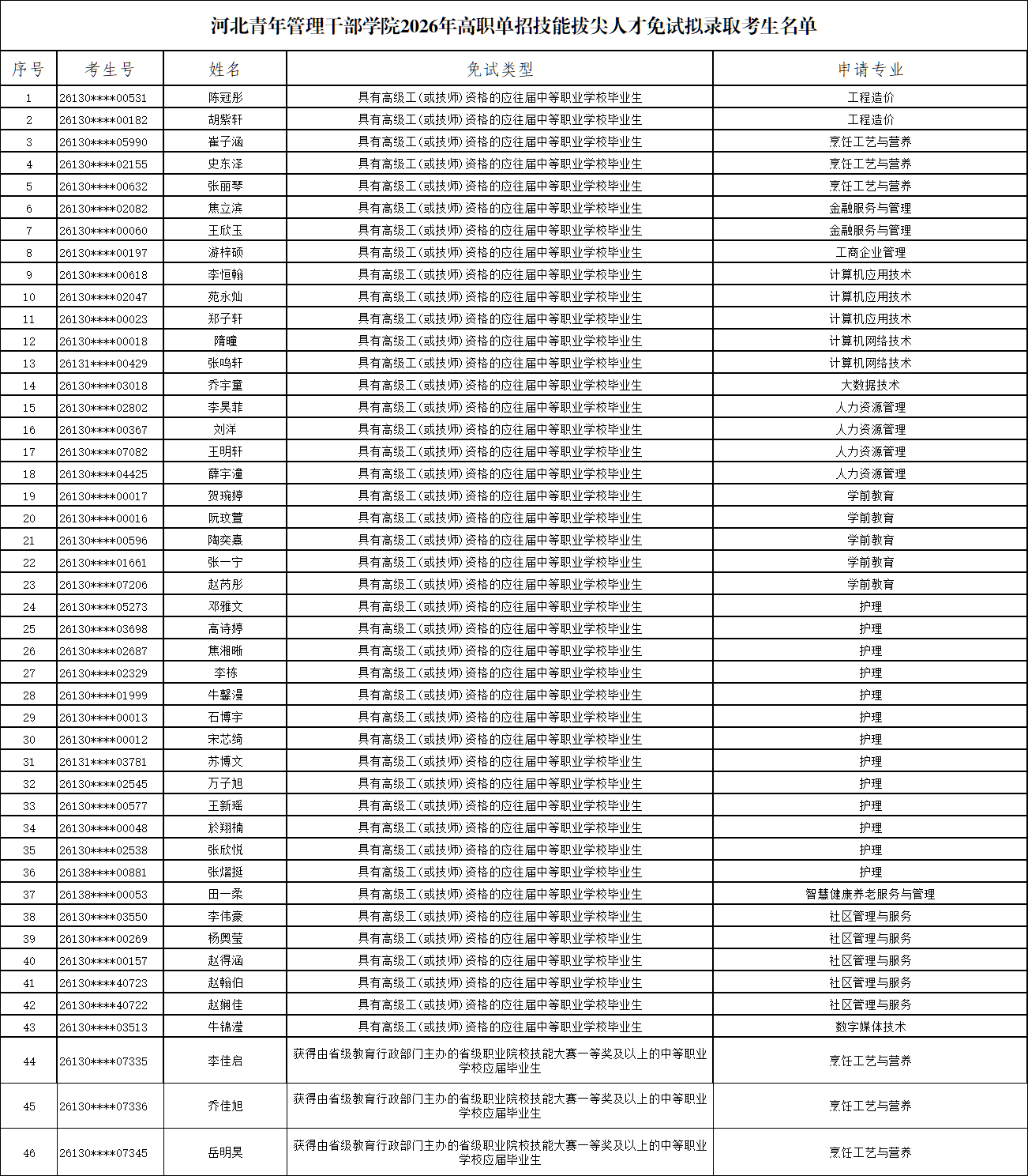
河北青年管理干部学院2026年高职单招技能拔尖人才申请免试公示名单

序号

考生号

姓名

免试类型

申请专业

1

26130****00531

陈冠彤

具有高级工(或技师)资格的应往届中等职业学校毕业生

工程造价

2

26130****00182

胡紫轩

具有高级工(或技师)资格的应往届中等职业学校毕业生

工程造价

3

26130****05990

崔子涵

具有高级工(或技师)资格的应往届中等职业学校毕业生

烹饪工艺与营养

4

26130****02155

史东泽

具有高级工(或技师)资格的应往届中等职业学校毕业生

烹饪工艺与营养

5

26130****00632

张丽琴

具有高级工(或技师)资格的应往届中等职业学校毕业生

烹饪工艺与营养

6

26130****02082

焦立滨

具有高级工(或技师)资格的应往届中等职业学校毕业生

金融服务与管理

7

26130****00060

王欣玉

具有高级工(或技师)资格的应往届中等职业学校毕业生

金融服务与管理

8

26130****00197

游梓硕

具有高级工(或技师)资格的应往届中等职业学校毕业生

工商企业管理

9

26130****00618

李恒翰

具有高级工(或技师)资格的应往届中等职业学校毕业生

计算机应用技术

10

26130****02047

苑永灿

具有高级工(或技师)资格的应往届中等职业学校毕业生

计算机应用技术

11

26130****00023

郑子轩

具有高级工(或技师)资格的应往届中等职业学校毕业生

计算机应用技术

12

26130****00018

隋曈

具有高级工(或技师)资格的应往届中等职业学校毕业生

计算机网络技术

13

26131****00429

张鸣轩

具有高级工(或技师)资格的应往届中等职业学校毕业生

计算机网络技术

14

26130****03018

乔宇童

具有高级工(或技师)资格的应往届中等职业学校毕业生

大数据技术

15

26130****02802

李昊菲

具有高级工(或技师)资格的应往届中等职业学校毕业生

人力资源管理

16

26130****00367

刘洋

具有高级工(或技师)资格的应往届中等职业学校毕业生

人力资源管理

17

26130****07082

王明轩

具有高级工(或技师)资格的应往届中等职业学校毕业生

人力资源管理

18

26130****04425

薛宇潼

具有高级工(或技师)资格的应往届中等职业学校毕业生

人力资源管理

19

26130****00017

贺琬婷

具有高级工(或技师)资格的应往届中等职业学校毕业生

学前教育

20

26130****00016

阮玟萱

具有高级工(或技师)资格的应往届中等职业学校毕业生

学前教育

21

26130****00596

陶奕熹

具有高级工(或技师)资格的应往届中等职业学校毕业生

学前教育

22

26130****01661

张一宁

具有高级工(或技师)资格的应往届中等职业学校毕业生

学前教育

23

26130****07206

赵芮彤

具有高级工(或技师)资格的应往届中等职业学校毕业生

学前教育

24

26130****05273

邓雅文

具有高级工(或技师)资格的应往届中等职业学校毕业生

护理

25

26130****03698

高诗婷

具有高级工(或技师)资格的应往届中等职业学校毕业生

护理

26

26130****02687

焦湘晰

具有高级工(或技师)资格的应往届中等职业学校毕业生

护理

27

26130****02329

李栋

具有高级工(或技师)资格的应往届中等职业学校毕业生

护理

28

26130****01999

牛馨漫

具有高级工(或技师)资格的应往届中等职业学校毕业生

护理

29

26130****00013

石博宇

具有高级工(或技师)资格的应往届中等职业学校毕业生

护理

30

26130****00012

宋芯绮

具有高级工(或技师)资格的应往届中等职业学校毕业生

护理

31

26131****03781

苏博文

具有高级工(或技师)资格的应往届中等职业学校毕业生

护理

32

26130****02545

万子旭

具有高级工(或技师)资格的应往届中等职业学校毕业生

护理

33

26130****00577

王新瑶

具有高级工(或技师)资格的应往届中等职业学校毕业生

护理

34

26130****00048

於翔楠

具有高级工(或技师)资格的应往届中等职业学校毕业生

护理

35

26130****02538

张欣悦

具有高级工(或技师)资格的应往届中等职业学校毕业生

护理

36

26138****00881

张熠挺

具有高级工(或技师)资格的应往届中等职业学校毕业生

护理

37

26138****00053

田一柔

具有高级工(或技师)资格的应往届中等职业学校毕业生

智慧健康养老服务与管理

38

26130****03550

李伟豪

具有高级工(或技师)资格的应往届中等职业学校毕业生

社区管理与服务

39

26130****00269

杨奥莹

具有高级工(或技师)资格的应往届中等职业学校毕业生

社区管理与服务

40

26130****00157

赵得涵

具有高级工(或技师)资格的应往届中等职业学校毕业生

社区管理与服务

41

26130****40723

赵翰伯

具有高级工(或技师)资格的应往届中等职业学校毕业生

社区管理与服务

42

26130****40722

赵娴佳

具有高级工(或技师)资格的应往届中等职业学校毕业生

社区管理与服务

43

26130****03513

牛锦滢

具有高级工(或技师)资格的应往届中等职业学校毕业生

数字媒体技术

44

26130****07335

李佳启

获得由省级教育行政部门主办的省级职业院校技能大赛一等奖及以上的中等职业学校应届毕业生

烹饪工艺与营养

45

26130****07336

乔佳旭

获得由省级教育行政部门主办的省级职业院校技能大赛一等奖及以上的中等职业学校应届毕业生

烹饪工艺与营养

46

26130****07345

岳明昊

获得由省级教育行政部门主办的省级职业院校技能大赛一等奖及以上的中等职业学校应届毕业生

烹饪工艺与营养