根据河北省教育厅《关于做好2026年普通高等职业教育单独考试招生工作的通知》(冀教学〔2025〕6号)及河北省教育考试院印发的《2026年河北省普通高等职业教育单独考试招生工作实施办法》相关规定,现将申报我院2026年高职单招技能拔尖人才免试入学拟录取考生名单予以公示。
公示时间:2026年2月26日—3月4日
如对公示内容有异议,请在公示期内以书面形式将具体说明发送至受理邮箱。公示期满后,如无异议,按要求报送河北省教育考试院备案。
受理邮箱:277092521@qq.com
监督电话:0311-87251616(招生就业处)
0311-87251621(纪委办公室)
附件:2026年高职单招技能拔尖人才免试拟录取考生名单
河北青年管理干部学院
2026年2月26日
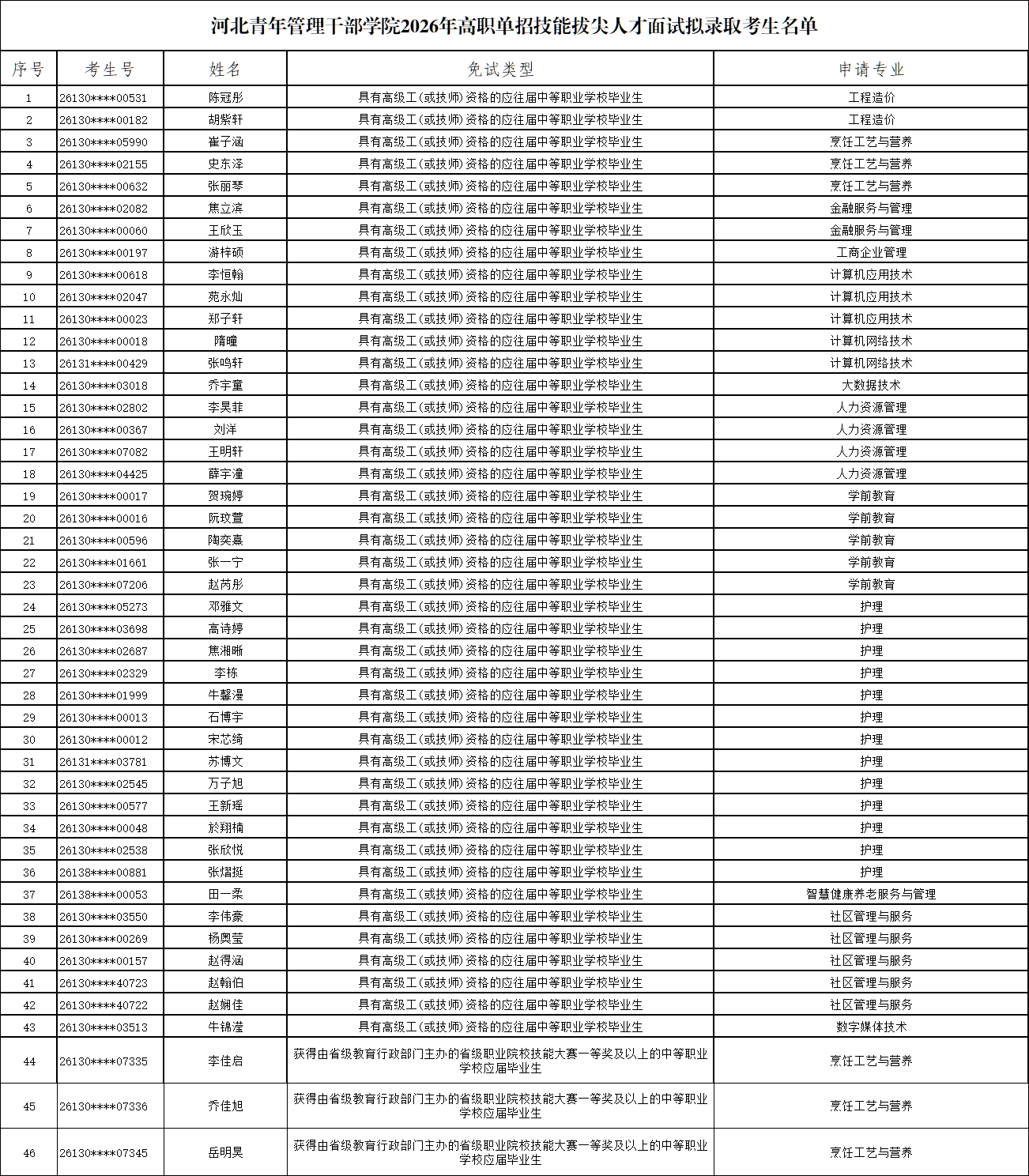
河北青年管理干部学院2026年高职单招技能拔尖人才申请免试公示名单 | ||||
序号 | 考生号 | 姓名 | 免试类型 | 申请专业 |
1 | 26130****00531 | 陈冠彤 | 具有高级工(或技师)资格的应往届中等职业学校毕业生 | 工程造价 |
2 | 26130****00182 | 胡紫轩 | 具有高级工(或技师)资格的应往届中等职业学校毕业生 | 工程造价 |
3 | 26130****05990 | 崔子涵 | 具有高级工(或技师)资格的应往届中等职业学校毕业生 | 烹饪工艺与营养 |
4 | 26130****02155 | 史东泽 | 具有高级工(或技师)资格的应往届中等职业学校毕业生 | 烹饪工艺与营养 |
5 | 26130****00632 | 张丽琴 | 具有高级工(或技师)资格的应往届中等职业学校毕业生 | 烹饪工艺与营养 |
6 | 26130****02082 | 焦立滨 | 具有高级工(或技师)资格的应往届中等职业学校毕业生 | 金融服务与管理 |
7 | 26130****00060 | 王欣玉 | 具有高级工(或技师)资格的应往届中等职业学校毕业生 | 金融服务与管理 |
8 | 26130****00197 | 游梓硕 | 具有高级工(或技师)资格的应往届中等职业学校毕业生 | 工商企业管理 |
9 | 26130****00618 | 李恒翰 | 具有高级工(或技师)资格的应往届中等职业学校毕业生 | 计算机应用技术 |
10 | 26130****02047 | 苑永灿 | 具有高级工(或技师)资格的应往届中等职业学校毕业生 | 计算机应用技术 |
11 | 26130****00023 | 郑子轩 | 具有高级工(或技师)资格的应往届中等职业学校毕业生 | 计算机应用技术 |
12 | 26130****00018 | 隋曈 | 具有高级工(或技师)资格的应往届中等职业学校毕业生 | 计算机网络技术 |
13 | 26131****00429 | 张鸣轩 | 具有高级工(或技师)资格的应往届中等职业学校毕业生 | 计算机网络技术 |
14 | 26130****03018 | 乔宇童 | 具有高级工(或技师)资格的应往届中等职业学校毕业生 | 大数据技术 |
15 | 26130****02802 | 李昊菲 | 具有高级工(或技师)资格的应往届中等职业学校毕业生 | 人力资源管理 |
16 | 26130****00367 | 刘洋 | 具有高级工(或技师)资格的应往届中等职业学校毕业生 | 人力资源管理 |
17 | 26130****07082 | 王明轩 | 具有高级工(或技师)资格的应往届中等职业学校毕业生 | 人力资源管理 |
18 | 26130****04425 | 薛宇潼 | 具有高级工(或技师)资格的应往届中等职业学校毕业生 | 人力资源管理 |
19 | 26130****00017 | 贺琬婷 | 具有高级工(或技师)资格的应往届中等职业学校毕业生 | 学前教育 |
20 | 26130****00016 | 阮玟萱 | 具有高级工(或技师)资格的应往届中等职业学校毕业生 | 学前教育 |
21 | 26130****00596 | 陶奕熹 | 具有高级工(或技师)资格的应往届中等职业学校毕业生 | 学前教育 |
22 | 26130****01661 | 张一宁 | 具有高级工(或技师)资格的应往届中等职业学校毕业生 | 学前教育 |
23 | 26130****07206 | 赵芮彤 | 具有高级工(或技师)资格的应往届中等职业学校毕业生 | 学前教育 |
24 | 26130****05273 | 邓雅文 | 具有高级工(或技师)资格的应往届中等职业学校毕业生 | 护理 |
25 | 26130****03698 | 高诗婷 | 具有高级工(或技师)资格的应往届中等职业学校毕业生 | 护理 |
26 | 26130****02687 | 焦湘晰 | 具有高级工(或技师)资格的应往届中等职业学校毕业生 | 护理 |
27 | 26130****02329 | 李栋 | 具有高级工(或技师)资格的应往届中等职业学校毕业生 | 护理 |
28 | 26130****01999 | 牛馨漫 | 具有高级工(或技师)资格的应往届中等职业学校毕业生 | 护理 |
29 | 26130****00013 | 石博宇 | 具有高级工(或技师)资格的应往届中等职业学校毕业生 | 护理 |
30 | 26130****00012 | 宋芯绮 | 具有高级工(或技师)资格的应往届中等职业学校毕业生 | 护理 |
31 | 26131****03781 | 苏博文 | 具有高级工(或技师)资格的应往届中等职业学校毕业生 | 护理 |
32 | 26130****02545 | 万子旭 | 具有高级工(或技师)资格的应往届中等职业学校毕业生 | 护理 |
33 | 26130****00577 | 王新瑶 | 具有高级工(或技师)资格的应往届中等职业学校毕业生 | 护理 |
34 | 26130****00048 | 於翔楠 | 具有高级工(或技师)资格的应往届中等职业学校毕业生 | 护理 |
35 | 26130****02538 | 张欣悦 | 具有高级工(或技师)资格的应往届中等职业学校毕业生 | 护理 |
36 | 26138****00881 | 张熠挺 | 具有高级工(或技师)资格的应往届中等职业学校毕业生 | 护理 |
37 | 26138****00053 | 田一柔 | 具有高级工(或技师)资格的应往届中等职业学校毕业生 | 智慧健康养老服务与管理 |
38 | 26130****03550 | 李伟豪 | 具有高级工(或技师)资格的应往届中等职业学校毕业生 | 社区管理与服务 |
39 | 26130****00269 | 杨奥莹 | 具有高级工(或技师)资格的应往届中等职业学校毕业生 | 社区管理与服务 |
40 | 26130****00157 | 赵得涵 | 具有高级工(或技师)资格的应往届中等职业学校毕业生 | 社区管理与服务 |
41 | 26130****40723 | 赵翰伯 | 具有高级工(或技师)资格的应往届中等职业学校毕业生 | 社区管理与服务 |
42 | 26130****40722 | 赵娴佳 | 具有高级工(或技师)资格的应往届中等职业学校毕业生 | 社区管理与服务 |
43 | 26130****03513 | 牛锦滢 | 具有高级工(或技师)资格的应往届中等职业学校毕业生 | 数字媒体技术 |
44 | 26130****07335 | 李佳启 | 获得由省级教育行政部门主办的省级职业院校技能大赛一等奖及以上的中等职业学校应届毕业生 | 烹饪工艺与营养 |
45 | 26130****07336 | 乔佳旭 | 获得由省级教育行政部门主办的省级职业院校技能大赛一等奖及以上的中等职业学校应届毕业生 | 烹饪工艺与营养 |
46 | 26130****07345 | 岳明昊 | 获得由省级教育行政部门主办的省级职业院校技能大赛一等奖及以上的中等职业学校应届毕业生 | 烹饪工艺与营养 |